เมื่อเร็วๆนี้ทีมวิจัยจากโรงพยาบาลจีนตะวันตกของมหาวิทยาลัยเสฉวนได้ทำการวิเคราะห์เชิงลึกของข้อมูลการตรวจสอบสุขภาพและโภชนาการแห่งชาติ (nhanes) ตั้งแต่ปี2009ถึง2018ซึ่งเกี่ยวข้องกับผู้เข้าร่วม19,280คน ผลลัพธ์แสดงให้เห็นว่า carotenoids มีผลสำคัญในการชะลอตัวลงเร่งของ phenopypic Aging กับ β-carotene และ β-cryptoganthin เป็นที่โดดเด่นโดยเฉพาะอย่างยิ่ง ซึ่งบ่งชี้ว่าเม็ดสีธรรมชาติเหล่านี้มีศักยภาพที่ดีในด้านการต่อต้านริ้วรอย

Carotenoids เป็นเม็ดสีที่ละลายในไขมันตามธรรมชาติที่พบได้อย่างกว้างขวางในสาหร่ายเชื้อราแบคทีเรียและพืช มีการระบุการ์ตูนธรรมชาติมากกว่า700รายการ ตามโครงสร้างทางเคมีของพวกเขา carotenoids สามารถแบ่งออกเป็นสองประเภท: หนึ่งที่มีเพียงคาร์บอนและองค์ประกอบไฮโดรเจนโดยไม่ต้องออกซิเจน (เช่น α-แคโรทีน β-แคโรทีนและ lycopene), และอีกชนิดหนึ่งที่ประกอบด้วยอนุพันธ์ออกซิไดซ์ที่มีกลุ่มการทำงานของออกซิเจนเช่น hydroxyl, Keto, carboxyl และกลุ่ม methoxy (เช่นลูทีนและ zeaxanthin) ในบรรดาแคโรทีนอยด์ที่ไหลเวียนอยู่ในเลือดมนุษย์หกประเภท-α-แคโรทีน, β-แคโรทีน, β-cryptoganthin, lycopene, lutein และ zeaxanthin-บัญชีมานานกว่า95%.
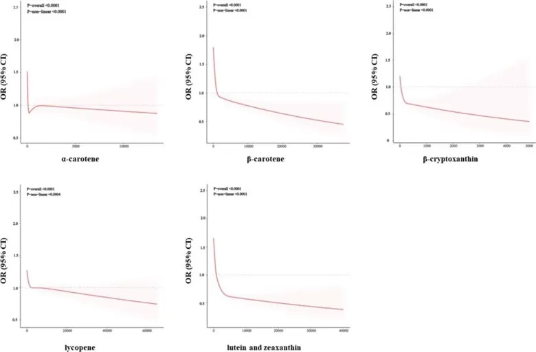
การศึกษาขึ้นอยู่กับสุขภาพแห่งชาติและการสำรวจการตรวจสอบโภชนาการ (nhanes) ข้อมูลสำรวจความสัมพันธ์ระหว่างอาหาร carotenoid บริโภคและกระบวนการชราทางชีวภาพ การวิจัยที่ได้รับระดับการบริโภค carotenoid โดยการวิเคราะห์ข้อมูลอาหารและอายุชีวภาพที่ได้รับการประเมินโดยใช้วิธีการฟีนอลและ klemera-doubal (KDM)
ผลลัพธ์แสดงให้เห็นว่าระดับแคโรทีนอยด์อาหารที่สูงขึ้นมีความเกี่ยวข้องอย่างมากกับอัตราการเสื่อมสภาพทางชีวภาพที่ช้าลงโดยแนะนำว่าแคโรทีนอยด์มีผลต่อต้านริ้วรอยที่อาจเกิดขึ้น การวิเคราะห์เพิ่มเติมเปิดเผยความสัมพันธ์ที่ไม่เชิงเส้นที่สำคัญระหว่างระดับแคโรทีนอยด์และการเร่งความเร็วของวัยชีวภาพแสดงให้เห็นว่าผลการป้องกันของพวกเขาจะเพิ่มขึ้นในระดับไอดีที่สูงขึ้น

ผลการวิจัยระบุว่า β-แคโรทีนและ β-cryptoxanthin มีผลสำคัญโดยเฉพาะอย่างยิ่งในการต่อต้านริ้วรอย นอกจากนี้ผลกระทบต่อต้านริ้วรอยของแคโรทีนอยด์แตกต่างกันไปในหมู่ประชากรที่แตกต่างกัน โดยเฉพาะบุคคลที่อายุน้อยกว่า (อายุต่ำกว่า60ปี) ผู้หญิงผู้ป่วยความดันโลหิตสูงและผู้ป่วยที่เป็นโรคเบาหวานได้รับประโยชน์อย่างมากจากปริมาณแคโรทีนอยด์ในระดับสูงซึ่งช่วยชะลอกระบวนการของริ้วรอยทางชีววิทยา

ริ้วรอยเป็นกระบวนการทางชีวภาพที่ซับซ้อนโดดเด่นด้วยการลดลงอย่างค่อยเป็นค่อยไปในการทำงานทางสรีรวิทยาและความไวต่อโรคที่เพิ่มขึ้น ความเครียดออกซิเดชันและการอักเสบเป็นปัจจัยสำคัญในการขับขี่กระบวนการชรา Carotenoids เนื่องจากโครงสร้างโมเลกุลของพวกเขาที่มีพันธะคู่ผันจำนวนมากมีความสามารถในสารต้านอนุมูลอิสระที่แข็งแกร่ง พวกเขาสามารถต่อต้านอนุมูลอิสระได้อย่างมีประสิทธิภาพและลดการอักเสบจึงช่วยขจัดออกซิเจนชนิดปฏิกิริยา (ROS) เช่นอนุมูลอิสระและออกซิเจน singlet ในร่างกายมีบทบาทสำคัญในการส่งเสริมริ้วรอยที่ดีต่อสุขภาพ
ศักยภาพในการต่อต้านริ้วรอยของแคโรทีนอยด์ส่วนใหญ่ขึ้นอยู่กับความสามารถในการส่งเสริมการเปลี่ยนของปัจจัยนิวเคลียร์ erythroid 2ปัจจัยที่เกี่ยวข้อง2 (Nrf2) ไปยัง CELL nucleus. เมื่อ Nrf2ย้ายไปยังนิวเคลียสมันเริ่มต้นการถอดความต้านอนุมูลอิสระและล้างพิษเอนไซม์ นอกจากนี้ในฐานะที่เป็นเซลล์แบ่ง telomeres ของพวกเขาค่อยๆสั้นลงจนกว่าการตายของเซลล์จะเกิดขึ้นและ ROS และการอักเสบเร่ง telomere shortening นี้ มีการรายงานว่าปริมาณอาหารสูงของ β-แคโรทีนเกี่ยวข้องกับความยาว telomere อีกต่อไป
Carotenoids เนื่องจากพลังสีที่แข็งแกร่งและเฉดสีที่มั่นคงมีการใช้กันอย่างแพร่หลายในด้านต่างๆเช่น colorants สำหรับเครื่องดื่มลูกอมและอาหารอื่นๆ, ตลอดจนสารอาหารในอาหารเด็ก Carotenoids ไม่เพียงแต่มีวิตามินกิจกรรมแต่ยังนำไปสู่หัวใจและหลอดเลือดและสุขภาพผิว พวกเขามีบทบาทสำคัญในการควบคุมสรีรวิทยาและการป้องกันโรคในร่างกายมนุษย์
Carotenoids ช่วยปกป้องสุขภาพหัวใจและหลอดเลือดโดยการยับยั้งการเกิดออกซิเดชันของ lipoprotein ความหนาแน่นต่ำ (LDL) ป้องกันการพัฒนาของหลอดเลือดและปกป้องเซลล์หลอดเลือดจากความเสียหายออกซิเดชัน, จึงรักษาหลอดเลือดฟังก์ชั่น ในบรรดาไลโคปีนและลูทีนเหล่านี้มีประโยชน์อย่างมากในเรื่องนี้ การวิเคราะห์เมตาพบว่าบุคคลที่รับประทานอาหารของ lycopene มีความเสี่ยงลดลง17% ของโรคหัวใจและหลอดเลือด ผลของลูทีนคือ15เท่าของไลโคปีนและ10เท่าของเบต้าแคโรทีนช่วยป้องกันการเกิดออกซิเดชันของไขมันได้อย่างมีประสิทธิภาพ
การถ่ายภาพส่วนใหญ่เกิดจากปัจจัยด้านสิ่งแวดล้อมและแสดงออกความยืดหยุ่นของผิวลดลงเม็ดสีผิดปกติความแห้งกร้านและอาการคัน รังสีอัลตราไวโอเลต (UV) เป็นทริกเกอร์ที่สำคัญเร่งริ้วรอยของผิวโดยการส่งเสริมการสร้างสายพันธุ์ออกซิเจนปฏิกิริยา (ROS) ซึ่งทำลายฟังก์ชั่นการป้องกันและซ่อมแซมผิว การศึกษาแสดงให้เห็นว่าการเสริมกับ carotenoids. ตัวอย่างเช่นแอสตาแซนธินช่วยเพิ่มสุขภาพผิวและออกแรงต่อต้านริ้วรอยโดยการยับยั้งความเสียหายจากอนุมูลอิสระ สามารถระงับการสังเคราะห์เมลานินลดการสร้างเม็ดสีเพิ่มความชุ่มชื้นของผิวและปรับปรุงผิวแห้ง การวิจัยบ่งชี้ว่าการบริโภคในช่องปากของแอสตาแซนธินสามารถลดจุดด่างดำและริ้วรอยและปรับปรุงความชุ่มชื้นและความยืดหยุ่นของผิว นอกจากนี้ astaxanthin สามารถลดความเสียหายของผิวที่เกิดจากรังสียูวีลดการสูญเสียความชื้นและผื่นและปกป้องสุขภาพผิว
การบริโภคอาหารของแคโรทีนอยด์ถือเป็นกลยุทธ์พื้นฐานในการป้องกันโรคประจำตัวตับที่ไม่มีแอลกอฮอล์ (nafld) ไลโคปีนมีคุณสมบัติในการป้องกันตับต่อโรคตับต่างๆรวมทั้งโรคประจำตัวของแอลกอฮอล์และกรดไขมันที่ไม่มีแอลกอฮอล์ ผลการป้องกันตับของ lycopene ส่วนใหญ่ลำต้นจากความสามารถในการต้านอนุมูลอิสระที่แข็งแกร่งซึ่งมีประสิทธิภาพยับยั้งความเสียหายของเซลล์ที่เกิดจากชนิดออกซิเจนปฏิกิริยา (ROS) นอกจากนี้การศึกษาได้ระบุว่า β-แคโรทีนหนึ่งใน carotenoids ที่อุดมสมบูรณ์ที่สุดในตับแสดงให้เห็นถึงผลกระทบที่สำคัญของ hepatoprotective การเพิ่มปริมาณอาหารของ β-แคโรทีนอย่างมีนัยสำคัญสามารถลดความเสี่ยงของตับ steatosis และฟรี Radical-mediated ตับเซลล์ความเสียหาย
การเสื่อมของอายุที่เกี่ยวข้องกับอายุ (AMD) เป็นโรคในการมองเห็นทั่วไปซึ่งส่วนใหญ่เกิดจากความเสียหายที่เสื่อมลงต่อตัวรับแสงในบุคคลที่เป็นผู้ใหญ่ มันได้กลายเป็นสาเหตุชั้นนำของการตาบอดในคนอายุ65ปี มันคาดการณ์ว่าภายในปี2040ความชุกของ AMD จะเพิ่มขึ้นเกือบ288ล้านคน [6]
การแสดงในช่วงต้นของ AMD รวมถึงการมองเห็นที่ลดลงลดความไวของความคมชัดและความคมชัดของภาพที่ลดลงโดดเด่นด้วยการลดลงอย่างค่อยเป็นค่อยไปในวิสัยทัศน์การทำงานเป็นเงื่อนไขที่ดำเนินไป Carotenoids มีบทบาทสำคัญในการรักษาสุขภาพและการทำงานของภูมิภาคตา ในบรรดาแคโรทีนอยด์ต่างๆลูทีนและ zeaxanthin ได้รับการแสดงให้ข้ามอุปสรรคเลือดจอประสาทตาและสะสมใน Retina ในรูปแบบเม็ดสีตา, กระบวนการที่จำเป็นสำหรับการป้องกันตา
นอกจากนี้ astaxanthin สมาชิกของครอบครัวลูทีนที่พบเป็นหลักในสิ่งมีชีวิตทางทะเลเชื่อว่ามีผลในการป้องกันที่อาจเกิดขึ้นจากความเสียหายและความผิดปกติของจอประสาทตาที่เกิดจากแสง เนื่องจากโครงสร้างโมเลกุลที่เป็นเอกลักษณ์ของแอสตาแซนธินสามารถสำรวจเมมเบรนสองชั้นของเซลล์ได้อย่างมีประสิทธิภาพ scavening ชนิดออกซิเจนปฏิกิริยาทั้งภายในและภายนอกของเซลล์, จึงให้กลไกการป้องกันกับความเครียด oxidative สำหรับ Retina
ข้อมูลอ้างอิง:
[1] https://link.springer.com/article/10.1007/s10522-024-10160-4
[2] https://www.mdpi.com/1422-0067/24/20/15199
[3] https://pubmed.ncbi.nlm.nih.gov/28318092/
[4] https://pubmed.ncbi.nlm.nih.gov/31605782/
[5] https://pubmed.ncbi.nlm.nih.gov/31904420/
[6] https:// PUbmed.ncbi.nlm.nih.gov/34829613/
แหล่งที่มาของภาพ: pixabay, ลิงค์: https://pixabay.com/zh/photos/smoothie-fruit-vegetables-1578240/